* 投资理财有风险,本文不构成投资建议,仅做观点交流。
TL;DR:
1. how to make a delta-netural uniswap v3 lp strategy with lending protocol
2. and its backtest results
Follow: https://medium.com/@zelos
There are plenty of articles about how to drive uniswap v3 lp values. In this post, we add some modifications to simplify future calculations.

Obviously, its delta is:

We can get a negative delta by debt. Debt's delta is always -1 per share. If you have one eth debt, you can exchange it into usdc, and profit from the eth price going down.

The idea is quite simple with the following steps:
For an optimization problem, it includes constraints and object function.
constraint #1
init capital is $1. So we have:
constraint #2
Aave has a clearing line or risk parameter called by aave. It says that if you deposit $100 value usdc, you can only borrow α value eth.So we have
Beware that we have an eth debt as
,and exchange
$ETH into usdc.constrain #3
delta neutral.
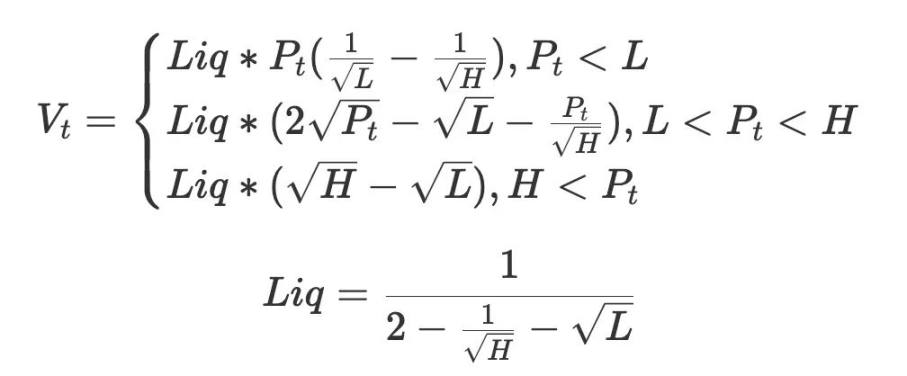
and We only care the case the price still in range. We simplify above equation as:
constrain #4
uniswap v3's rule about P,L and spot price,which is set as 1 at init:
Object function , we should max the liquidity to earn more fees. It comes out as a standard optimization problem as following:

def optimize_delta_netural(ph, pl, alpha,delta = 0.0):
uni_amount_con = (1 - 1 / ph ** 0.5) / (1 - pl ** 0.5)
liq = 1/(2 - 1 / sqrt(ph) - sqrt(pl))
# solution x
# V_U_A: value go into AAVE 0
# V_U_init: init usdc , not go into AAVE 1
# V_U_uni: usdc in uniswap 2
# V_E_uni: eth in uniswap 3
# V_E_lend: eth lend from aave 4
# V_U_lend: some eth lend from aave exchange to usdc 5
# V_U_A = x[0]
# V_U_init = x[1]
# V_U_uni = x[2]
# V_E_uni = x[3]
# V_E_lend = x[4]
# V_U_lend = x[5]
# add constrains
cons = ({"type": "eq", "fun": lambda x: x[0] + x[1] - 1}, # V_U_A + V_U_init = 1
{"type": "eq", "fun": lambda x: x[2] * uni_amount_con - x[3]}, # uniswap providing constrain
{"type": "eq", "fun": lambda x: (1 - 1 / ph ** 0.5) * (x[2] + x[3]) * liq - (x[5] + x[3])-delta}, # delta netural
# ineq
{"type": "ineq", "fun": lambda x: x[1] + x[5] - x[2]}, # amount relation for usdc
{"type": "ineq", "fun": lambda x: x[4] - x[3]}, # amount relation for eth
{"type": "ineq", "fun": lambda x: alpha * x[0] - x[5] - x[4]}, # relation for aave
# all x >= 0
{"type": "ineq", "fun": lambda x: x[0]},
{"type": "ineq", "fun": lambda x: x[1]},
{"type": "ineq", "fun": lambda x: x[2]},
{"type": "ineq", "fun": lambda x: x[3]},
{"type": "ineq", "fun": lambda x: x[4]},
{"type": "ineq", "fun": lambda x: x[5]},
)
init_x = np.array((0, 0, 0, 0, 0, 0))
# # Method Nelder-Mead cannot handle constraints.
res = minimize(lambda x: -(x[2] + x[3]), init_x, method='SLSQP', constraints=cons)
We choose making range as (0.9,1.1), and aave risk parameter as 0.7. the solution is
We can see that about 83% init investment goes into liquidity providing.

Figure 1 shows the variation of the borrowing balance with price changes, Figure 2 shows the variation of the Uniswap LP's value with price changes, and Figure 3 shows the total value of both. From the figures, it can be observed that when the price fluctuates by 10%, the total net value changes by approximately 2%.After delta hedging, the v3 LP becomes a pure short Gamma strategy.
So, can the fee income cover the 2% loss caused by a 10% price drop? Before conducting empirical backtesting, let's discuss the gamma-theta trade-off.
Since we have implemented delta hedging, and assuming constant volatility, we can derive:
With this formula, we can determine how much the price of ETH changes within a day causes us a potential loss.
In the latest release, our open-source software Demeter[1] has integrated lending protocols. We can backtest our theoretically delta-neutral strategy to evaluate its performance.
Demeter feature:
class DeltaHedgingStrategy(Strategy):
def __init__(self):
super().__init__()
# calculate numbers about delta hedge
optimize_res = optimize_delta_netural(float(H), float(L), float(AAVE_POLYGON_USDC_ALPHA))
V_U_A, V_U_init, V_E_lend, V_E_uni, V_U_lend = optimize_res[1]
self.usdc_aave_supply = Decimal(V_U_A)
self.usdc_uni_init = Decimal(V_U_init)
self.eth_uni_lp = Decimal(V_E_uni)
self.eth_aave_borrow = Decimal(V_E_lend)
self.usdc_aave_borrow = Decimal(V_U_lend)
self.last_collect_fee0 = 0
self.last_collect_fee1 = 0
self.change_history = pd.Series()
def initialize(self):
new_trigger = AtTimeTrigger(time=datetime.combine(start_date, datetime.min.time()), do=self.change_position)
self.triggers.append(new_trigger)
def reset_funds(self):
# withdraw all positions, Omitted for simplicity
pass
def change_position(self, row_data: RowData):
self.reset_funds()
pos_h = H * row_data.prices[eth.name]
pos_l = L * row_data.prices[eth.name]
total_cash = self.get_cash_net_value(row_data.prices)
# invest positions
self.last_aave_supply_value = total_cash * self.usdc_aave_supply
self.last_aave_borrow_value = self.last_aave_supply_value * AAVE_POLYGON_USDC_ALPHA
market_aave.supply(usdc, self.last_aave_supply_value)
market_aave.borrow(eth, self.last_aave_borrow_value / row_data.prices[eth.name])
self.last_net_value = total_cash
market_uni.sell(self.usdc_aave_borrow * total_cash / row_data.prices[eth.name]) # eth => usdc
market_uni.add_liquidity(pos_l, pos_h)
# result monitor
self.change_history.loc[row_data.timestamp] = "changed"
pass
def get_cash_net_value(self, price: pd.Series):
return Decimal(sum([asset.balance * price[asset.name] for asset in broker.assets.values()]))
def get_current_net_value(self, price):
# get principle
return Omitted_for_simplicity
def on_bar(self, row_data: RowData):
# reset if loss 2%
if not self.last_net_value * Decimal("0.98") < self.get_current_net_value(row_data.prices) < self.last_net_value * Decimal(
"1.02"):
self.change_position(row_data)
pass
Due to the fixed range used in the above strategy, we refer to it as a static strategy. We also tested another dynamic strategy.
This strategy utilizes a theta table. Through this theta table, the optimal range for market-making can be obtained each day. When the price exceeds the predetermined range, the optimal investment ratio will be recalculated based on the previous day's optimal market-making range.
During the backtesting process, we used the following rules:
In the backtesting of the static strategy, we chose a loan coefficient of 0.7 and a market-making range of [0.9 ~ 1.1]. The results are shown in the graph:

As can be seen, due to the wide selection range, there were not many position adjustments made. And during periods of significant price fluctuations, the overall net value remained relatively stable.
The final net value was 1007u, with Uniswap LP fee income of 36u. It is worth noting that on the last day of October 1st, there was a sharp increase in price, but it did not trigger a position adjustment. This resulted in a decrease in net value. If we exclude this sudden change, the net value could have reached 1016u, which corresponds to a return of 1.6% over the two months and an annualized return of 9.6%.
In the backtesting of the dynamic strategy, we also chose a loan coefficient of 0.7, and the market-making range was dynamically adjusted based on the theta table. The results are shown in the graph:

The final net value was 1024u, with Uniswap LP fee income of 65u. It generated a return of 2.4% over the two months, with an annualized return of 14.4%. Due to timely rebalancing, this strategy was minimally affected by ETH price fluctuations. For example, the price fluctuation on October 1st did not significantly impact the net value. Additionally, on August 17th, when the price sharply dropped, the strategy borrowed a significant amount of ETH and reduced investments in Uniswap, effectively hedging against the decline in ETH.
From the testing, it is evident that this strategy has a strong ability to withstand price changes. It actually generates more profit during periods of significant price fluctuations (when there is usually more swapping). If a better market-making range can be selected, the return rate can be further improved.
However, it should be noted that in this backtest, only the swap fees were considered, and the gas fees incurred during the transactions were not taken into account. Frequent operations can significantly reduce profits.
Using the Delta hedging strategy, it is possible to maintain the principal within a certain range of price fluctuations and earn profits from market-making on Uniswap, thereby achieving stable returns. By optimizing the market-making range, the yield can be further improved.Demeter, as an excellent backtesting tool, is simple to use and has high accuracy. It supports popular DEFI projects such as Uniswap and AAVE, and can be used to optimize investment strategies and improve investment returns.
Demeter: https://zelos-demeter.readthedocs.io/en/latest/
Antalpha Labs 是一个非盈利的 Web3 开发者社区,致力于通过发起和支持开源软件推动 Web3 技术的创新和应用。
官网:https://labs.antalpha.com
Twitter:https://twitter.com/Antalpha_Labs
Youtube:https://www.youtube.com/channel/UCNFowsoGM9OI2NcEP2EFgrw
联系我们:hello.labs@antalpha.com
【免责声明】市场有风险,投资需谨慎。本文不构成投资建议,用户应考虑本文中的任何意见、观点或结论是否符合其特定状况。据此投资,责任自负。
