“有了 Smilee Finance,无偿损失或许不再是一种损失,它也更可能是一种可组合性的收益”
无偿损失
流动性挖矿是引燃 DeFi Summer 的导火索,在 AMM DEX 中,它允许用户将资产按照比例添加到 AMM 流动性池中成为 LP,以为交易者潜在的 Swap 行为所需要的流动性做着准备。作为回馈,LP 们能够获得来自于 DEX 的治理代币以及手续费分佣等的激励。
目前,绝大多数 AMM DEX 通常以恒定常数模型为基础,比如目前应用最广泛的恒定乘积模型的 Uniswap v2 以及 CLMM 的 Uniswap v3、恒定和机制的 Balancer、恒定交易函数的 Curve、恒定资金池模型的 Bancor 等。
基于这种恒定常数模型,当外部市场资产价格发生变化时,通常会促进交易者更加频繁的交易,而不断引发池中资产数量、比例发生变化,导致池中资产价格背离市场,这又将吸引套利者来扳平价差获利。所以在 AMM 流动性池中,资产的分布总是在不断的发生动态变化的。
所以在伴随着流动池中的某种资产价格发生变化时,基于恒定常数,将导致 LP 的资产分布也会发生变化。如果资产价格上升,LP 将持有更多的低价值资产,如果价格下降,LP 将持有更多的高价值资产,这种价格差异导致了无偿损失。
无偿损失的程度通常与资产价格的波动性有关,当资产价格波动性较大时,无偿损失可能更显著,因为价格变动引起的资产重新分配更为剧烈。
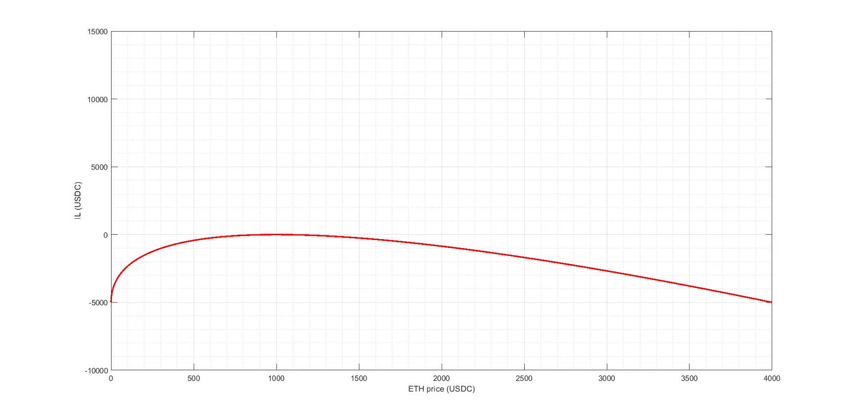
Smilee Finance 团队曾将某 AMM 模型的无偿损失,通过数据模拟测算制成了图表,即提供流动性与持有价值 10,000 美元的 ETH / USDC 等权重投资组合(EW)之间的比较。设定初始 ETH 价格 = 1,000 美元。红色直线为 ETH 价值变化时投资组合的价值关系,蓝色曲线则为 ETH 价值变化时,LP 价值的走势。实际上,蓝色曲线与红色直线间在纵坐标上的差值,即可描述为无偿损失。

根据上图直接反映的无偿损失图表如下:

所以我们看到在上述例子中,当 ETH 价值维持在 1000 美元左右时,无偿损失是最小的,手续费等收入几乎可以弥补无偿损失,但当 ETH 价格背离过多时无偿损失更加明显,突破临界值后 LP 们将亏损。
虽然无偿损失是 LP 们的“噩梦”,但 Smilee Finance 正在通过构建一套以无偿损失为基础的期权方案,在弥补 LP 提升收益的同时,并将无偿损失变成将无偿收益。作为一种极具创新性的期权产品,Smilee Finance 的叙事也不仅限于单一的链上期权协议,它也期望作为一个底层期权协议帮助开发者以可组合性的形式搭建更多具备抓手功能的期权产品。
本文将带领读者对 Smilee Finance 的协议设计以及叙事方向进行探索。
Smilee Finance 如何让“无偿损失”变成“无偿收益”?
实际上,LP 们本身并不希望资产本身有过高的波动,所以 LP 在期权术语中本身属于一种做空波动性的角色(即更期望短期波动率),即在当市场稳定或处于均衡时赚钱,但是当市场处于波动时,LP 们就不得不承受这种波动所带来的无偿损失风险。
Smilee 构建了一种新型的链上期权产品方案,并将其称为去中心化波动率产品(DVP),通过将无常损失分解为期权,然后重新组合它们以产生任何类型的波动性收益。在这套模型中,LP 是期权的铸造者以及出售者(Smilee 中被称为短期波动率 DVP),而 Smilee 则进一步引入了做多波动性的角色,它们是通过支付溢价来购买期权的角色(在 Smilee 中被称为长期波动率 DVP)。
Smilee 建立了一个链上引擎,其将短期波动率 DVP 与长期波动率 DVP 在两端进行链接。

短期波动率 DVP 即 LP 们通过 Smilee 铸造 LP 后, Smilee 将其潜在的无偿损失铸造成期权进行出售,而长期波动率 DVP 则通过 USDC 等资产通过 Smilee 购买这些期权,长期波动率 DVP 所支付的溢价资产将分配给 LP 以弥补他们的无偿损失,长期波动率 DVP 们则以期权的形式获得这些无偿损失资产(吸收 LP 们所面临的无偿损失风险)。
简单来说,就是通过 Smilee 引擎 LP 与期权购买者之间进行“交易”(两个角色分别通过不同的保险库进入),LP 们向期权购买者出售他们的无偿损失部分的资产,并获得期权购买者所支付的溢价(购买期权的资金)。
实际上,落实到产品上,Smilee 两侧的每个保险库都包含下面几个参数:
波动率敞口(做多波动率或做空波动率);
代币对(例如 ETH/USDC);
回报公式,DVP 背后的策略以及用于实现保险库目标的公式;
期权到期日;
拍卖周期。
通过这套模型,LP 们能够将无偿损失变成一种可以预期的收益,而期权购买者们则有赢有亏,当他们所获得的无偿损失资产大于他们所支付的溢价时即盈利。
Smilee Finance 的交易引擎是确保长期波动率和短期波动率 DVP 保持完美平衡的关键,基于此,短期和长期波动率 DVP 收益之和就是 LP 收益与无常损失之和。所以只需确保每个金库的流动性与等权重投资组合的分配完美匹配,Smilee 就可以保证所有 DVP 收益都得到充分保障。而 Smilee Finance 本身是搭建在 DEX 上的,即以 Uniswap、Sushiswap、Curve 等 DEX 上以获得流动性保证,这意味着基于 Smilee 可以铸造和出售任何期权,而无需首先有人出售该期权。

Smilee 设计了一套十分灵活的架构设计,它允许为高级用例创建可定制的 DVP,无论是来自协议、DAO 还是机构(例如做市商、对冲基金等),都可以在 Smilee 上建造各种各样的金库,包括可以执行调用、看跌期权、跨越或任何其他类型的期权策略的期权库,可以用于对冲无偿损失风险、通过期权策略获利等等。
Smilee 正在将可组合性的概念提升到了一个全新的高度,而 Smilee 一词,也正在被描述为将 DEX 流动性转化为波动性的全新原语。

目前,真实收益保险库与无偿收益保险库是基于 Smilee Finance 建立的首套保险库用例,它允许 LP 们通过真实收益保险库提供流动性并获得可以预期的收益,并允许期权购买者通过无偿收益保险库通过溢价购买期权获得无偿收益。
真实收益保险库
真实收益保险库主要面向 LP 端(它的另一端是无偿收益保险库),LP 们可以将流动性(单币或双币)注入到保险库中,在获得 LP 挖矿收益的同时,还将获得基于 USDC 的额外溢价收益(由期权购买者支付)以覆盖无偿损失。这种收益是透明且明确的,LP 们能够在提供流动性时就可以预期真实收益率,且明确的获得类似于加密理财一样的盈利。
而通过在无常收益保险库到期时调整真实收益保险库增量,Smilee 也将不受两端保险库期限不匹配的影响。因此,最终期权购买者购买的无常损失正是 LP 的损失,而不受其他要素影响。
Smilee Finance 也通过数学模型将基于真实收益保险库提供流动性与在 Uniswap v3 上(-50%、+50% 范围)内提供的集中流动性进行了对比。(ETH/USDC 币对,ETH 价格为 $1000)

可以看到,真实收益保险库无论在 ETH 价格如何变化,绝大多数情况下都要比 Uniswap v3 的收益要高,除头寸更透明外,收益更加可预测且收益波动性也更小。
无偿收益保险库
无偿收益保险库是真实收益保险库的另外一侧,它允许用户向池中以 USDC 的方式支付溢价,以购买期权(无偿损失)。

通常,购买期权时,需要对一些参数进行选择,包括:
代币对,例如,ETH / USDC、ETH / BTC,…)
USDC 溢价金额
杠杆倍数
策略(例如,仅上行、仅下行、简单)
到期日
拍卖周期
在拍卖期间,购买者需要支付 USDC 溢价进入无常收益保险库,计算溢价以覆盖真实收益保险库的 APY。到期时,真实收益保险库损失的无常损失将转移至无常收益保险库,并能够提取无常损失使其成为无常收益。
当然,在期权到期时购买者并不总是能够获得盈利的。只有当货币对在任一方向的回报足够大以补偿所支付的溢价时,买方就达到盈亏平衡,在此之后,他开始赚取利润。不过期权购买者的盈利预期相对而言还是比较高的,随着标的变化更为明显时,到期后获得的收益会更高。
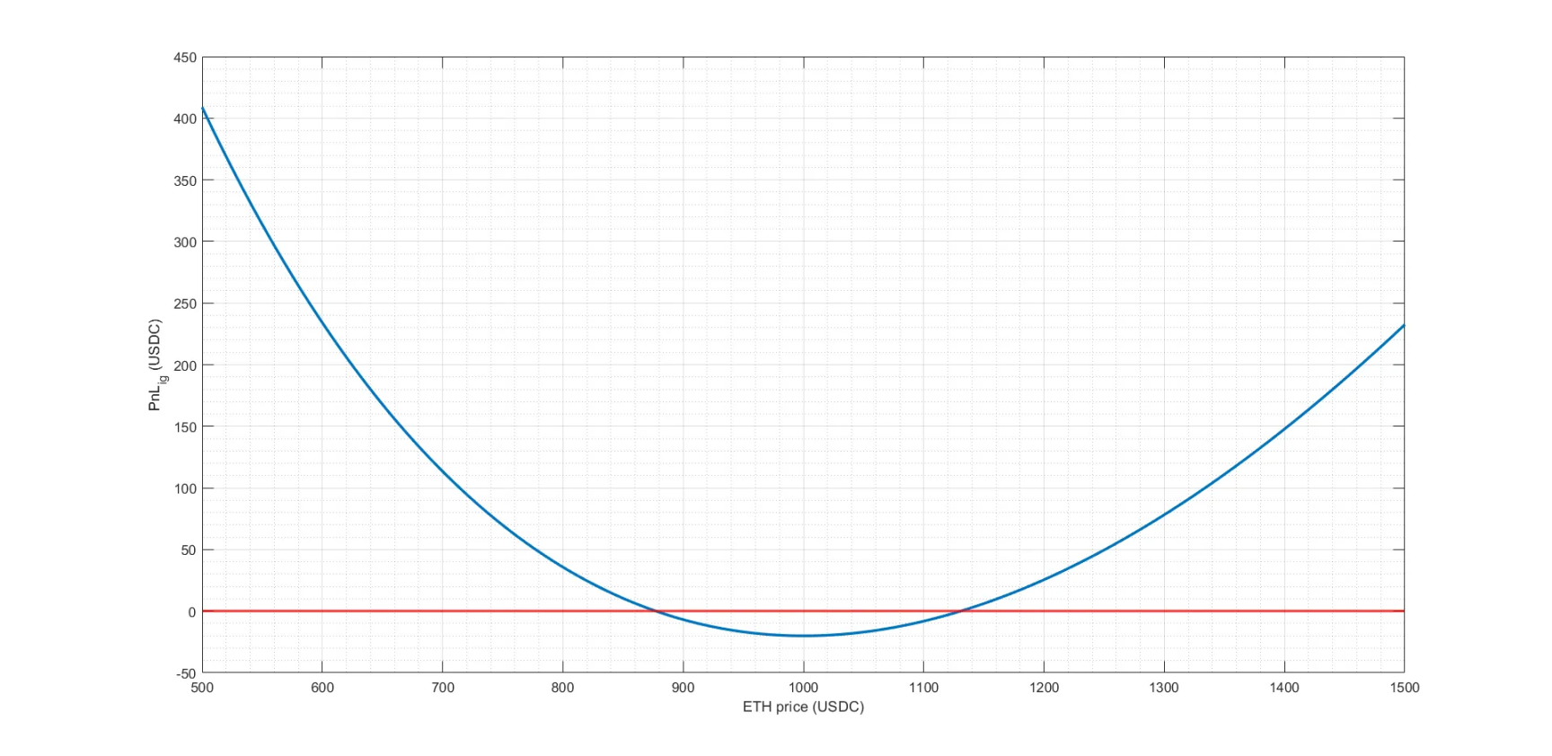
同样在 Smilee Finance 的数据测算中(ETH 价格为 1000 美金),期权购买者在购买期权后,标的价格在上涨 13% 或下跌超过 12% 时,将能够获得更高的盈利预期,并覆盖支付的溢价。
无偿收益保险库的另外一个好处是没有清算,其允许交易者提前平仓,在这种情况下,他的回报将是截至平仓时所实现的无常收益,并丧失所支付的全部溢价费用。

实际上,无偿收益保险库的用途十分广泛,包括持有大量 LP 的机构、DAO 组织等对冲 LP 风险、应对极端市场的变化、在明确产生波动事件前建仓获利、对冲投资组合风险等等。
此外,基于无偿收益保险库,还可以在进一步扩展,以创建更丰富的策略,包括选择仅上涨、仅下跌等定制化的设定,并进一步组合出满足定向化需求的期权组合产品,配合最高支持 1000 倍的杠杆,将带来更加广泛的收益效果。
AMM DEX 的增益
Smilee Finance 正在成为 AMM DEX 的一种增益。
实际上,加密市场中,绝大多数 DEX 都是基于 AMM 模型创建,并且都存在潜在的无偿损失风险,几乎所有人都认为无偿损失是一种缺陷,但 Smilee 却以可组合的方式将无偿损失设计成一种全新的期权方案,它能够以可组合性的方式帮助 LP 们将无偿损失转化为可预期的收益。
几乎所有具备无偿损失的 AMM DEX 都将能够充当 Smilee Finance 构建保险库的底层,其能够十分广泛的覆盖在各类头部 DEX 以及不同链的 DEX 上,这意味着 Smilee Finance 无需自行搭建流动性,只要底层 DEX 能够提供充足的流动性 Smilee 就能运转,并随着 LP 的不断铸造而源源不断的铸造期权。
Smilee Finance 具备直接捕获这些 DEX 用户的能力,同时相对于 OPYN、Hegic 等基础期权协议的启动、运转门槛更低,且流动性更好。同时 Smilee 上可以建造各种各样的金库,包括可以执行调用、看跌期权、跨越或任何其他类型的期权策略的期权库,并能够面向十分丰富的投资者群体。
通过与 Smilee Finance 的组合,AMM DEX 将获得规避无偿损失的能力,这将帮助这些 DEX 在更小代价且无需考虑无偿损失的前提下充分捕获流动性,并能够在资本效率等方面做进一步的探索。
同时,AMM DEX 不仅能够基于 Smilee Finance 向期权领域深度的拓展,以丰富 DEX 本身的功能抓手, Smilee Finance 有望成为 DEX 拓展收益渠道、规避市场风险甚至通过全新期权功能抓手拓展用户的全新途径。
从衍生品赛道的角度看,永续期货类协议占据了主要的市场份额,期权则始终发展较为滞缓,无论是链上还是链下领域。实际上,在传统金融领域,期权的名义成交额与期货基本在同一量级,这意味着期权赛道尤其是更具灵活性与可组合性的链上期权赛道具备十分广阔的发展潜力。这同样对于 Smilee Finance 来说是一个不错的早期机会。
Smilee Finance 生态进展
在 2023 年 5 月,Smilee Finance 获得了由 Dialectic 领投,Synergis Capital、Concave Ventures、Owl Ventures、Yunt Capital、Dewhales Capital、Outlier Ventures、New Order、Multisig Ventures、GTS Ventures、Hyperpyra 等众多投资者及一系列天使投资者共计 200 万美金的种子轮融资。
Smilee Finance 也在在前不久上线了测试网,并在 11 月 24 日在其测试网上推出了期权交易大赛,每周参赛者将获得额外的 2,000 美元的 $sUSD 空投。截止目前已有超过 2000 人参加,第一周最佳战绩为收益 540%。
Smilee Finance 正式网预计将在 12 月末或 1 月初正式上线。

【免责声明】市场有风险,投资需谨慎。本文不构成投资建议,用户应考虑本文中的任何意见、观点或结论是否符合其特定状况。据此投资,责任自负。
