随着 RWA 进入规模化发行阶段,市场逐步发现,资产是否能够上链已不再是核心问题,真正决定其可投资性与可持续性的,是风险如何被识别、定价并被交易结构真实反映。缺乏统一、可验证的定价逻辑,已成为当前 RWA 产品在二级市场流通受限的重要原因之一。本文围绕信用风险、流动性风险、市场风险与对手方风险四个关键维度,尝试建立一套适用于链上环境的风险定价与量化分析框架。研究以传统金融中的 PD、LGD、EAD 模型为基础,引入链上可观测数据与替代指标,对不同类型 RWA 资产的风险暴露进行拆解,并在此基础上构建可用于协议参数化与产品定价的合成定价逻辑。在流动性层面,本文重点分析了 AMM 与 CLOB 两类交易结构下 RWA 的流动性成本差异,指出流动性贴水并非单一市场因素,而是由资产结构、交易深度与做市机制共同决定。同时,将对手方风险与法律执行不确定性纳入定价调整框架,弥补现有模型在跨境与多司法辖区场景下的不足。结合 2024–2025 年多项已落地的 RWA 实操案例,本文对上述模型的适用边界与现实偏差进行了验证与修正,并进一步总结出影响 RWA 定价稳定性与二级流通能力的关键变量。研究结论显示,只有在风险定价、结构设计与监管合规形成闭环的前提下,RWA 才具备从可发行走向可交易、可持有的现实基础。
关键词:RWA、风险定价、链上量化、流动性贴水、信用风险
近年来,RWA 从概念性探索向机构化、合规化实践迅速演化,成为全球金融基础设施创新的重要方向之一。RWA 通过区块链技术将现实世界资产(如国债、货币市场工具、企业债权、房地产收益权等)转换为可交易、可程序化的数字凭证,以提升结算效率、增强透明度、拓宽投资者参与边界。
现实应用已从传统的试点项目扩展到机构主导的生产级发行。例如,2025 年 BlackRock 的 USD Institutional Digital Liquidity Fund(BUIDL) 已在多个交易与借贷平台上被接纳为抵押物,可作为机构级现金管理工具参加市场交易,这标志着 RWA 开始进入全流程生产环境。
市场规模与增长
截至 2025 年底,主流市场数据表明 RWA 代币化的链上总价值约 24 亿美元左右,较数年前增长数倍。这一增长不仅源于零散项目堆叠,而是由实盘性资金流入驱动,并以国债与私募债权为核心[7] 。
根据 RedStone、Gauntlet 与 RWA.xyz 发布的报告:RWA 代币化市场在 3 年内增长约 380%,达到约 24 亿美元(不含稳定币),并持续扩大[7] 。
多方独立分析也显示,2025 年末 U.S. Treasuries(美国国债)和私募信贷构成了当前 RWA 市场的主要部分,分别占据较大比重[8]。
行业普遍认为,RWA 市场的增长具备极高潜力,尽管短期规模仍不及整体金融市场,但其增长速度与组成结构已经发生明显变化:
• 多份行业报告显示,RWA 市场 2023–2025 期间增长显著,机构参与度显著提升[7]。
• 标准银行等预测,到 2034 年,全球代币化资产总规模可能达到 约 30 兆美元量级(包括传统资产类的全面代币化)[9]。
• 麦肯锡等机构估算,截至 2030 年,RWA 及更广泛的资产代币化市场规模可能达到 约 2–16 兆美元区间[10]。
需要注意的是,上述预测区间较宽,反映当前市场对于 制度化渗透速度、监管环境与技术基础设施成熟度方面的不确定性。标准银行及第三方机构常以不同模型假设得出不同值,因此研报后续章节中将对这些假设与模型进行量化检验。
机构与资产类别演进
RWA 领域在 2024–2026 年出现了以下几类显著趋势:
(1)机构发行逐渐从试点走向规模化
过去几年中,诸如 BlackRock、JPMorgan、Goldman Sachs、Franklin Templeton 等全球机构纷纷启动或扩展代币化资产产品线。例如:BlackRock BUIDL 基金自 2024 年推出后,在多个交易平台获得抵押物地位[11] ;JP Morgan 于 2025 年底推出首支针对富裕客户的 Tokenized Money Market Fund。这些动作表明,机构层面对 RWA 的理解已超出早期技术试验,转向生产级应用,并开始建立可对外发行、可交易、可托管的链上资产产品。
(2)资产类别从单一扩展至多元化
早期 RWA 实践主要集中在与现金等价物(如美国短期国债、货币市场基金)相关的资产代币化。随着市场条件成熟,更多类型资产进入链上,例如:国债与短期票据的代币化为规模增长的基石。私募信贷、企业债、房地产现金流类资产逐步进入试点与量产阶段。
未来随着法律与市场基础设施完善,贸易融资、基础设施债权、租赁收益权等复杂资产的链上表达将进一步扩大资产覆盖范围。
技术与监管环境演进
技术和监管是推动 RWA 从试点走向规模化的两大关键因素:随着区块链层及生态基础设施成熟,包括高可靠性预言机、合规钱包、KYC 与 AML 系统、链上清算机制等技术组件不断完善,这为 RWA 提供了可验证的数据源与自动化执行能力。例如,多个大型托管机构已开始支持链上资产与链下托管之间的协调机制(如通过时间戳、哈希验证链下事件)。这些进展增强了链上数据与链下法律记录的一致性,降低了执行风险。
在全球范围内,各主要监管管辖区逐步提出或完善针对代币化资产的监管框架:英国央行(BoE)与欧洲央行(ECB)正在评估将代币化资产纳入可接受抵押品体系,并研究如何扩大可用资产范围;新加坡与香港监管机构继续推进监管沙盒及许可制度,探索如何在保护投资者的同时支持机构发行合规 RWA 产品;美国等地在稳定币与数字证券法案方面也在推进相关立法,为成熟 RWA 提供更清晰的法规边界。尽管各地监管环境仍存在差异,例如中国监管机构曾建议暂停部分在港开展的 RWA 活动以审慎评估风险,但全球监管整体趋势仍趋于明确和可预期。
综合判断:从试点到机构化
总体而言,RWA 市场正在形成由机构发行、法规支撑、技术可执行、资产多样化四大要素交织的生态体系。当前市场规模虽然仍相对较小,但增长速度和机构参与度均显示出:由概念试验向产品化转变,由单一资产类型向多资产类别并行拓展,由链下静态验证向链上动态治理与量化风险管理进阶。
RWA 的估值、风险建模与流动性安排高度依赖现金流稳定性和权利可转让性,这里给出本文采用的双维度分类矩阵。

说明:
• Q1 类资产最适合做首批机构化发行,具有最小信用利差与最小流动性贴水。
• Q3/Q4 类资产需要较强法律结构(SPV 与托管)与较高风险准备金。
• Q2/Q3 类资产适合以结构化产品(优先与次级)形式发行,吸收不同风险偏好资金。
为了构建完整的定价与监控体系,本文使用四类核心风险因子:信用风险、流动性风险、市场风险、对手方风险。每类风险因子均包含链下主指标与链上替代指标。

风险因子映射逻辑说明
• 信用风险映射到 PD、LGD:如链上托管入金覆盖率下降→PD 上调;担保物验证缺失→LGD 上调。
• 流动性风险映射到 S_liq:如池深度不足导致可交易规模 < 发行量的 10%,流动性贴水可从 50bp 提升至 200–300bp。
• 市场风险映射到 S_Market:Oracle 偏差 > 0.5% 或连续延迟→提升市场风险溢价。
• 对手方风险映射到 S_CVA:托管银行评级下调、做市商退出→对手方风险显著增加。
本章从利率—信用—流动性—对手方四条主线构建可落地的链上风险定价体系,强调:定价必须可回测、可拆解、可执行、可自动化,能够在实际协议中映射为参数化逻辑(Oracle、折价系数、CVA 调整、池深度滑点函数等)。为保证模型具有跨司法辖区适用性,本章采用 USD 计价、ETH 结算 的统一口径,所有链上指标以 链上可验证时间戳与交易原语 作为基础输入。
RWA 的折现框架应基于无风险或低风险曲线,但链上环境中并不存在完美替代。当前机构化设置中,可选择以下三类:

在当前主流 RWA 协议(如 Mountain Protocol、Backed Finance)中,我们观察到:大部分资产折现仍采用美债曲线作为主基准,链上利率仅作为二级校准。
实操建议:对所有现金流类资产(租赁 / 应收 / 存单 / 短融),折现基准应使用 UST 曲线与风险溢价;对于 token 交易型、合成型资产,可使用 链上无风险利率与 LP 风险溢价。
2.1.2 折现法则:连续复利与链上结算周期
链上结算周期通常以区块为单位,因此需兼容连续复利框架:

其中,(rc)为连续复利化后的参考利率,可根据链上喂价周期进行离散化校准:

即:Oracle 波动越高,连续复利化调整越大,以体现数据不确定性。
DeFi 协议中必须明确 Oracle 失效、喂价延迟、极端缺口 时的回退逻辑。当前机构常用三档:
1. Time-based Fallback 若喂价 > T 分钟无更新,则使用上一次有效价格,并叠加时间衰减因子:

1. Source Fallback 主源(Chainlink)不可用时切换至次源(Pyth),并引用中位数值。
2. Circuit Breaker 若价格单周期波动 > X%(通常 5–8%),暂停定价并触发人工审查。
上述回退机制已在 Superstate、Hashnote、Backed 的链上国债产品中得到广泛应用。
传统信用模型(如 Basel)在链上需解决缺乏财报、缺乏监管评级、缺乏抵押物监管三大缺陷。因此,本文构建链上替代指标—信用变量映射体系。
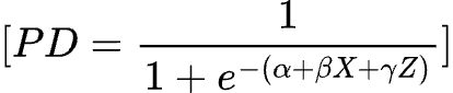
2.2.1 PD(违约概率)链上建模
链上 PD 来源包括三类可验证信号:

PD 估算模型
建议使用 Logit 模型 + 贝叶斯平滑:

其中,X 为链上行为变量,Z 为链下财务替代变量(如存托银行证明、托管余额)。
实操案例:某新加坡持牌基金发行链上短债,链上 PD 主要基于金库余额 / 未偿份额计算,其 PD 估值与链下银行提供的信用证差距不到 8–12bps。
违约时损失率取决于:
• 资产可回收性(Recoverability)
• 法律可执行性(Legal Enforceability)
• 链上清算路径(On-chain Liquidation)

链上 Recovery Value 可通过:
• 托管机构返还速度(如 Anchorage、BitGo)
• 可重新质押资产价值(Re-Tokenizable Value)
• LP 池折算回收率(AMM 清算折价)
近一年机构化实践显示:LGD 在高质量国债类 RWA 中通常 < 2%;在应收 / 贸易融资类项目常在 25–45% 区间。
链上可直接度量:

由于链上记录不可篡改,EAD 是三项中最易处理的变量。
2.2.4 链上替代信号映射表

RWA token 的最典型问题是:链上缺乏机构级二级市场,导致流动性贴水成为主要风险溢价项。本节采用 AMM 与 CLOB 两类框架进行量化。
AMM(如 Uniswap V3)中,滑点取决于池深度与价格区间:

其中 Q 为交易量,L 为流动性深度。
流动性贴水(Liquidity Discount, LD)可定义为:

行业数据表明:
若 AMM 池规模 < 100 万 USD,单次 50k 的卖单可能导致 1–2% 滑点,因此需计入贴水溢价 20–80bps。
对于采用 Orderbook(如 Vertex、Hyperliquid、DYdX V4)的 RWA token,可以通过挂单深度构造贴水:

CLOB 的优势是价格冲击更小,但 RWA Token 在 CEX 或 CLOB 的上币率极低,因此目前还属于早期阶段。
2024–2025 年机构化 RWA 交易数据显示:

在链上结构中,对手方等价于:
托管人 + 发行 SPV + 资产服务商 + Oracle + 清算执行方。
定义:

其中 (R=1-LGD)。
在链上应用中,PD 可实时更新(基于金库余额、净值变动等),因此 CVA 是动态变量。
由于跨境执行、SPV 结构透明度不一、托管机构监管差异大,需设定法律贴水:

基于行业数据:

该贴水常用于机构评估是否投资某 RWA Token。

四类风险溢价可拆解如下:

该定价框架可直接映射到协议折价系数或池子利率模型(IRM)。
2.5.2 示例计算(以新加坡持牌基金发行的链上短融为例)
假设:
• 美债 3M 基准利率:4.8%
• PD:0.35%
• LGD:30%
• AMM 流动性贴水:0.8%
• CVA:0.12%
• 法律贴水(新加坡):0.25%
则:

最终收益率:

该收益率与当前链上短融类产品(5.1–6.2%)基本一致。
2.5.3 敏感性分析(对关键变量 ±20%)

结论:流动性贴水对收益率影响最大,是协议最需优先优化的部分(例如扩大 AMM 池、引入做市商经费、提高二级市场可见度)。
本章围绕五个最新、可验证、具有代表性的 2024–2025 年 RWA 发行与管理案例:BlackRock / Securitize、DAMAC × MANTRA、InvestaX / Obligate eNote、Brickken LATAM、Diamond Standard Fund。
每个案例均从六个维度展开:项目结构、法律 /SPV/ 托管、现金流与收益表、链上监控指标、PD/LGD/EAD 测算、流动性压力测试与风险溢价区间。
Tokenized USD Institutional Digital Liquidity Fund
(机构级货币市场基金;2024–2025 已成为全球最大链上基金)
3.1.1 项目结构
BlackRock 与 Securitize 于 2024 年推出 USD Institutional Digital Liquidity Fund(BUIDL),其本质为合格投资者可认购的货币市场型基金份额 token[1] 。
结构如下:
• 发行主体(SPV):BlackRock Digital Liquidity Fund, domiciled in Delaware。
• 分销与数字证券平台:Securitize Markets(FINRA 监管)。
• 底层资产:美国国债、回购协议、现金等(低风险,高流动性)。
• 托管:Bank of New York Mellon(传统托管);稳定币与链上部分由 Securitize 托管。
该结构与传统 MMF(货币基金)几乎完全一致,只是份额登记与份额赎回上链。
3.1.2 法律与托管设计
• 监管框架:在 SEC 注册的 1940 Act 基金的衍生结构,因此安全性最高。
• 合格投资者机制(KYC/KYB):Securitize 提供私域允许名单(Allowlist),非合格投资者无法转账。
• 法律可执行性:份额登记在链上,但其法律权益在链下受 1940 Act 保护,是目前跨链上—链下法律强度最高的 RWA 模式。
3.1.3 现金流样表(示例)

3.1.4 链上监控指标(可回溯)
• 持有人数量、机构占比(Etherscan)
• 净值更新频率(每日更新)
• 资金流入或流出(Inflows/Redemptions)
• 合约地址:资金侧余额变化
3.1.5 PD / LGD / EAD 实操估算
• PD(违约概率) 基于美国国债 + BlackRock 资产管理能力,其 PD < 0.01%。
• LGD(违约损失) 基于链下法律保护,几乎为 0–2%。
• EAD(风险暴露) 链上可直接查询当前 token 发行量。
3.1.6 流动性贴水与压力测试
BlackRock BUIDL 在链上几乎无二级市场交易,因此流动性溢价依赖做市商回购机制(Market Maker Redemption):
• Securitize 设定 T+0 / T+1 回购
• 法律赎回周期受托管行影响(BNY Mellon)
行业测算流动性贴水:5–25 bps。
压力测试:

BlackRock 模式被视为低信用风险、低法律风险、低流动性贴水的标准。
2024 中东最大地产资产上链项目
3.2.1 项目结构
• 资产方:DAMAC Properties(中东最大地产商之一)
• 合作方:MANTRA(RWA 公链)
• 资产类别:迪拜地产 + 租金收益 + 所有权凭证
• 目标规模(2024–2025):约 100–150M USD Tokenized Assets
结构上采用:
• SPV:ADGM(阿布扎比)隔离结构
• 链上:MANTRA Chain + 合格投资者白名单
• 托管:当地持牌信托机构
3.2.2 法律与跨境登记难点
• 地产上链需要完成 土地局(Dubai Land Department)的登记映射
• 房产所有权无法直接 token 化,因此采用经济权证 + 租金收益权结构
• 投资者必须通过 UAE 金融监管 KYC/KYB
• SPV 必须能证明破产隔离(Bankruptcy Remote)
3.2.3 现金流样表(示例)

3.2.4 链上监控指标
• 租金收入入账事件(Oracle 记录)
• SPV 银行账户余额定期同步(链上证明)
• 地产评估报告(季度更新)
• Token 持有人分布
3.2.5 PD / LGD / EAD 测算
• PD(违约概率):地产类资产违约概率主要来自无法按期派息、出租率下降。
迪拜空置率维持 15–20%(2023–2024),PD 可估为 1–3%。
• LGD(违约损失):地产有强抵押性,但跨境执行成本高。 LGD 区间:15–35%。
• EAD: 由 Token Outstanding 直接链上读取。
3.2.6 流动性压力测试与贴水估计
房地产上链普遍缺乏交易深度:

DAMAC × MANTRA 通过做市计划解决部分流动性,但其贴水远高于国债类 RWA。
(2024 瑞士合规企业债 eNote)
3.3.1 项目结构
• 发行方:Les Constructeurs du Bois(法国建筑企业)
• 技术平台:Obligate(瑞士数字债券)[3] 、InvestaX(新加坡持牌 IX Swap)
• 资产类型:短期企业债(eNote)
• 法律模式:瑞士 DLT Act 下的链上登记债券(Ledger-based security)
3.3.2 法律与托管
• 发行地:瑞士,受 FINMA 监管
• 托管:无需第三方托管,链上合约即为法律记账主体
• 跨境投资者:需通过 InvestaX KYC/KYB
eNote 模式被认为是链上法律执行性最强的结构之一。
3.3.3 现金流样表示例

3.3.4 链上监控指标
• eNote 发行与赎回事件
• 企业还款记录(链上证明 + 银行流水)
• 债务可回收率估算
• 清算 / 违约事件自动触发(智能合约)
3.3.5 PD / LGD / EAD 实操测算
• PD:中小企业,6–10%[4] 。
• LGD:40–55%。
• EAD:按已发行 eNote 余额链上可见。
3.3.6 流动性与压力测试
eNote 在 Obligate 二级市场有报价,但深度有限。

在 RWA 中属于中风险、中贴水类型。
3.4.1 项目结构
Brickken 在拉美做了多个地产 + 债券的 Token 化试点[5] :
• 国家:墨西哥、智利、哥伦比亚
• 资产类型:住宅、公寓、商业楼
• 结构:当地基金 + SPV + 实体房产登记
• 链上:Brickken Token Suite(ERC-3643 合规模型)
3.4.2 区域特殊性与法律框架
• 拉美地区采用监管沙盒机制(Mexico CNBV Sandbox)
• 房产登记系统数字化程度低 → 需离链法律凭证
• 投资者主要为海外资金,需要跨境注册与 AML
3.4.3 现金流样表示例

3.4.4 链上监控指标
• 租金入账凭证(上传至 IPFS + On-Chain Hash)
• 刊登当地房产评估文件
• 区域合规更新披露
• Token 持有结构与转让限制
3.4.5 PD / LGD / EAD 估算
• PD:拉美地产项目 4–10%
• LGD:25–45%
• EAD:按 token outstanding 计算
3.4.6 流动性贴水
链上交易深度极低:
• 正常贴水:8–15%
• 市场压力期:15–25%
属于高贴水的典型区域 RWA。
商品 / 珍品类 Tokenization:钻石篮子基金(2024–2025)
3.5.1 项目结构[6]
• 资产类型:标准化钻石商品(Diamond Standard Coin / Bar)
• 发行方:Diamond Standard Ltd(美国 CFTC 监管商品发行方)
• 基金结构:Diamond Standard Fund(受 SEC 监管)
• 链上:Tokenized Bar / Coins + Oracle 价格喂价
钻石资产通过算法组合构成标准化篮子,以解决天然钻石非标准化问题,是目前最成功的珍品类 RWA。
3.5.2 法律与托管
• 法律:商品结构(Commodity),受 CFTC 监管
• 托管:Brinks(全球最大贵重物品托管方)
• 链上:Oracle 喂价 + Token 化对应托管证明
3.5.3 现金流样表(珍品无现金流)

珍品类资产主要依赖价格升值,而非现金流。
3.5.4 链上监控指标
• Oracle 价格波动
• Token–Vault 证明
• 资产稀缺性指数
• 持有人分布
3.5.5 PD / LGD / EAD 测算
珍品类资产不涉及信用违约,只有:
• PD:≈0(无借款机制)
• LGD:主要来自托管失败或盗损,估值 LGD ≈ 5–15%
• EAD:等于持仓市值
3.5.6 流动性贴水
钻石类 RWA 的二级市场极不活跃:
• 正常情况:3–7%
• 市场压力:8–15%
• 极端事件:15–25%(价格不连续)
在传统金融向 RWA 迁移的过程中,风险治理不是单一维度,而是由 资产、主体、结构、技术、合规 五个层面共同构成的闭环体系。关键目标是:
1)确保资产本身可验证、可追踪;
2)确保交易结构独立、破产隔离;
3)确保合规框架与当地监管体系保持一致;
4)确保链上运行具备数据真实性与可审计性。


监管核心差异:香港 更强调发行端合规与投资者分层管理;新加坡 更强调牌照化与技术接口标准化;内地 聚焦资产真实性、贸易背景与合规渠道封闭式流转。
穿透式尽调不仅看票面文件,而是通过 6 大组件构建完整的可验证资产链路:
1)真实贸易验证:订单、物流、发票三链合一;
2)资金路径验证:资金归集账户、托管路径、资金三签;
3)经营数据验证:过去 12–24 个月 GMV、回款率、违约率;
4)反洗钱与主体合规:KYC、股权结构、关联交易检查;
5)动态监控机制:退款率、冻结率、GMV 跌幅触发器;
6)链上数据同步:Oracle 每日推流 6–12 次;资产包元数据上链。
在 RWA 项目的实际落地中,结构化设计并非合规装饰,而是直接决定资产是否具备可融资性、可持续性与风险可定价性的核心要素。无论资产质量本身如何,若缺乏清晰的破产隔离结构、可执行的现金流分配机制以及可量化的增信安排,项目在机构侧往往难以进入实质性定价阶段。从 2024–2026 年的市场实践看,成功落地的 RWA 项目在结构设计上呈现出高度趋同的三层逻辑:SPV 隔离 → Waterfall 分配 → 动态增信。
4.4.1 SPV 结构:破产隔离的底座工程
在当前主流 RWA 项目中,SPV 的首要功能并非税务筹划,而是实现资产、运营主体与投资者之间的法律隔离。这也是机构投资者在尽调中最先核查的结构要点。
(1)常见 SPV 架构选择
实务中,多数项目采用以下组合结构:
• 开曼 SPC 或 BVI SPV 作为发行主体,用于持有底层资产或资产收益权;
• 香港作为资金中转与托管司法辖区,承接投资人资金与资产现金流;
• 底层资产所在国设立 本地项目公司或借款主体,与 SPV 通过合同或应收账款转让关系连接。
该结构的核心目的在于:
即便资产服务方或平台发生经营风险,SPV 层面的资产与现金流在法律上仍具备独立性,不进入其破产财产范围。
(2)破产隔离的关键实操点
在项目落地中,单纯设立 SPV 并不足以构成有效隔离,机构通常会重点核查以下事项:
• SPV 是否具备独立董事或受托管理人,避免被认定为实质控制;
• SPV 是否有独立账簿、独立银行账户与审计安排;
• SPV 与服务方、平台之间是否存在交叉担保、资金混同或隐性兜底条款。
在 2025 年后,多家机构已明确要求:若 SPV 无法证明其经营与资金流的独立性,将直接被视为穿透主体,其信用风险需并表计入平台风险。
4.4.2 Waterfall 机制:现金流可预测性的核心来源
现金流分配顺序(Waterfall)并非形式性安排,而是 RWA 项目信用分层与风险定价的基础。一个清晰、可执行的 Waterfall,是机构愿意给予较低信用利差的前提条件。
(1)标准化分配顺序
在多数债权类或收益权类 RWA 项目中,Waterfall 通常设定如下:
1.托管与行政费用:包括托管银行费用、审计费用、法律与合规成本;
2.资产服务费:支付给底层资产管理或运营方,通常与资产存续规模或回款额挂钩;
3.优先级投资人本息:这是机构投资者关注的核心现金流来源;
4.次级份额收益:用于吸收部分资产波动或违约风险;
5.权益层或递延收益:通常归属于资产发起方或平台方。
这一分配顺序的核心逻辑在于:
将不确定性尽量压缩在后端,使优先级现金流具有高度可预测性。
(2)Waterfall 与风险定价的直接关系
在定价层面,Waterfall 的清晰度会直接影响:优先级资产的 PD(违约概率);投资人可接受的 利差区间;是否需要额外增信或法律贴水。
实务中,若现金流路径存在跳跃、临时调整或由平台单方裁量,机构通常会要求显著提高贴现率,甚至直接否决项目。
4.4.3 增信机制:不是兜底,而是风险缓冲
与传统理解不同,当前 RWA 项目中的增信措施更多扮演的是风险缓冲与波动吸收工具,而非绝对意义上的刚性兑付承诺。
(1)常见增信方式及区间
在 2024–2026 年已落地项目中,较为常见的增信安排包括:
• 超额抵押:通常设置在 3%–8% 区间,视资产波动性而定;
• 服务方回购或补足义务:多以触发条件 + 限额责任形式存在,而非无条件兜底;
• 动态触发机制:如回款率低于阈值、逾期率上升等自动触发现金流重分配;
• 平台层隐性增强:包括费用让渡、延期收取管理费等方式,改善优先级现金流稳定性。
(2)机构对增信的真实态度
需要特别指出的是,机构投资者并不偏好无限责任式增信。
相反,他们更关注:增信是否可量化、可执行;是否在合同中明确触发条件与执行路径;增信本身是否会引入新的对手方风险。
在部分案例中,过度复杂或不透明的增信设计,反而被视为结构风险的一部分。
4.4.4 结构设计的核心判断标准
综合来看,机构在评估 RWA 项目结构时,通常隐含一个简化判断逻辑:是否能在不依赖主观信用判断的前提下,预测未来现金流的稳定性与损失边界。SPV 提供法律隔离,Waterfall 提供现金流秩序,增信机制提供波动缓冲。三者共同构成 RWA 项目可定价、可交易、可持续的结构基础。
4.5.1 项目背景
该项目由香港持牌保理机构发起,将其跨境电商卖家应收账款资产进行 Tokenization,拟发行规模 600–900 万港币。资产来自 Amazon/Shopee 月度对账单形成的真实贸易应收。由 SPV 持有资产包并在链上发行可转让凭证型 Token(ERC-3643/1400)。目标投资人限定为 香港专业投资者(PI),不触发 SFO(公众发行)要求。
4.5.2 风险治理体系
(1)资产真实性风险治理
• 通过卖家后台 API 获取订单号、物流号、签收状态、退货记录,抽查比例 ≥10%。
• 对账单中平台代扣情况与回款记录实现链上同步,Oracle 每日推流,使资产可验证。
• 使用 12 个月静态池验证坏账率,当前坏账历史 <0.3%,退款率 1.8%–2.3%。
(2)主体风险治理
• 服务方(保理方)经营超过 8 年,管理资产规模 15 亿港币。
• 卖家连续 3 年稳定经营,GMV 年复合增长 18%–22%。
• KYC、股东穿透、供应链上下游检查作为必要项。
(3)结构风险治理
• 开曼 SPC 作为资产载体,香港托管账户进行资金三签。
• 设置 Waterfall:先服务费,再投资人本息,最后次级份额。
• 设立 5% 超额抵押与 3% 流动性储备金。
(4)技术风险治理
• 使用多预言机机制(Chainlink + Offchain Labs)避免单点攻击。
• 资产包放入 IPFS 做快照,供审计比对。
(5)监管风险治理
• 全流程采用私募结构,投资人均需提供 PI 证明。
• Token 不在二级市场流通,不触发 VATP 监管。

4.5.3 最终结构与落地步骤
(1)结构图概括
卖家 → 保理方(服务方) → SPV(开曼) → Token Wrapper → 投资人
资金路径:平台货款 → 香港托管账户 → SPV → 投资人分配
(2)落地步骤(12 步标准流程)
1)资产清单准备
2)订单 / 物流 / 账单三链抽查
3)卖家 KYC、经营验证
4)静态池分析(12 个月)
5)建立现金流模型(Collection Curve)
6)搭建 SPV(开曼)
7)开立托管账户(香港)
8)签署服务协议、转让协议
9)Token Wrapper 测试
10)Oracle 推流配置
11)私募发行(PI 白名单)
12)链上运行与月度审计
参考来源
[1] BlackRock 官方披露(2024)- https://www.blackrock.com/
[2] 迪拜虚拟资产监管局(VARA)披露 - https://www.vara.ae/
[3] Obligate 官方文档 - https://docs.obligate.com/
[4] S&P SME Default Data 2024 - https://www.spglobal.com/
[5] Brickken 披露(2024)- https://www.brickken.com/
[6] Diamond Standard 官方估值规则 - https://www.diamondstandard.co/
[7] Coindesk - https://www.coindesk.com/business/2025/06/26/real-world-asset-tokenization-market-has-grown-almost-fivefold-in-3-years
[8] Ainvest - https://www.ainvest.com/news/rise-real-world-asset-rwa-tokenization-2025-2512/
[9] Real-world asset tokenisation: A game changer for global trade https://cdn.treasury-management.com/wp-content/uploads/2024/07/StandardCharterd_RealWorld-Asset-Tokenisation_GlobalTrade_2024.pdf
[10] Finance.yahoo - https://finance.yahoo.com/news/rwa-tokenization-market-reach-16t-000429613.html
[11] Coindesk - https://www.coindesk.com/markets/2025/06/18/blackrocks-29b-tokenized-treasury-fund-now-accepted-as-collateral-on-cryptocom-deribit
核心贡献
作者:Adam Pan
审校:Colin Su、Grace Gui、NingNing、Owen Chen
设计:Alita Li
【免责声明】市场有风险,投资需谨慎。本文不构成投资建议,用户应考虑本文中的任何意见、观点或结论是否符合其特定状况。据此投资,责任自负。
